主营:高低温冲击箱、冷热冲击试验箱、两箱冷热冲击箱等设备
400-822-8565
158-9969-7899
正航仪器讲解袋式除尘器管道内气体静压
使用皮托管测定各测点静压,取其算术平均值。如用S 型皮托管测定,应以其静压校正系数修正。
一、 管道内气体流量
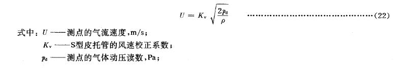
1、在含尘浓度大的管道中,应使用S 型皮托管测量动压,然后按下式计算气流速度:



二、管道内气体含尘浓度
1、除尘器入口与出口管道内的粉尘浓度采用过滤计重法测定,测除尘率时必须同时在这两处采样。测孔位置和测点数按12. 1 、12. 2 、12. 3 三条确定。当除尘器出口管道内存在气流严重扰动的情况时,可在通风机出口管道上设测孔。
大型压入式袋式除尘器的出口粉尘浓度可采用大流量采样器进行采样,见图9 。

2、 采样时一般用移动采样法在各测点以相同的采样时间进行等速采样。当不可能使用移动采样法时,可使用代表点采样法。即根据在各测点测定的气流速度,求出平均流速,然后选定其速度接近平均流速的测点作为采样代表点,进行粉尘采样。采样时仍应遵守等速采样的原则。
3、 对温度不大的除尘系统进行等速采样的抽气流率与采样体积可按式(6)~ (ll)
4、高湿系统的采样装置如图10 所示。在进行等速采样时,可先利用采样系统中的冷
进行湿度测定,求出气体中的水蒸气体积百分数。其方法是:
a. 取任量计读数Q' c (一般可取10~20 L/mi时,采样十余分钟或更长一些时间,量出冷凝器中产生的凝结水量和冷凝器出口温度Tv℃) ;


其余符号意义与式(29) 、(3 1)同。





13.8 现场使用性能测定次数一般为两次,必要时可增加。测定数据汇总表如表5 。


东莞市正航仪器设备有限公司 Copyright © 版权所有contact us
地址:广东省东莞市寮步镇岭安街2号手机微信号
微信公众号
手机网站


