主营:高低温冲击箱、冷热冲击试验箱、两箱冷热冲击箱等设备
400-822-8565
158-9969-7899
正航技术整理高压电力滤波装置使用条件和技术性能要求
1 海拨
安装运行地点的海拔应不超过1 km 。
注:用于海拔高于1 km 地区的滤波装置,其要求自用户与制造方协商确定.
1.1环境空气温度类别
安装运行地区的环境温度范围为-40 .C~45 .C 。在此温度范围内按滤被装置所能适应的环境空气温度范围分为若干温度类别,每一温度类别均以一斜线隔开的下限温度值和上限温度值来表示.下限温度为滤波装置可以投入运行的环境空气温度,其值从5 'C 、-5 .C 、-25 .C 、-40 .C 中选取.上限温度为滤波装置可以在其中连续运行的环境空气温度,其值从40 .C 、45 .C 中选取。任何下限温度和上限温度的组合均可选为滤波装置的温度类别,如-25/40 、5/45.
滤波装置运行期间,在电容器组的最热区域中两台电容器外壳最热点连线中点上测得的空气温度应不超过上限温度加5 .C 。
1.2抗污秽能力
滤波装置各外绝缘的爬电比距, 对户内滤波装置不小于2.0 cmlkV (.对应于系统工作电压),对户外滤披装置不小于2.5 cm/k:V,对于重污秽地区, 应适当加大爬电比距。
2.技术性能要求
2.1滤波装置安装容量
滤波装置每个支路的安装容量(单位为k飞哑〉推荐在下列数值中选取t
300, 450, 600, 900, 1200, 1500, 1800, 2400, 3000, 3600, 4200, 4800 (5000) , 6000,
7200, 8000, 9 000, 10000, 12000, 14400, 16800, 20000 。
2.2 额定绝缘水平
滤波装置的主电路相间以及相与地之间、辅助电路与地之间应承受表1 规定的耐受电压。工频耐受电压施加的时间为1 min.

2.3滤波装置性能要求
滤波装置投运后,考核点的谐波电压及注入系统谐波电流应满足GB/T14549 或用户的要求。
2.4过负荷
2.5稳态过电压
滤波装置的连续运行电压为1.00UN , 且能在表2 所规定的稳态过电压下运行相应的时间。

2.6稳态过电流
滤波装置应能在1.35IN 的电流下长期运行。
3.温升
对于构架式滤波装置,其主电路中各连接处的温升应不超过50 K,各电器设备的温升应不超过各自的规定。
对于柜式滤波装置,除各电器设备不超过各自的规定外,其余应符合GB厅11022 的规定。
3.1主电路及辅助电路设备选择
主电路及辅助电路设备包括隔离开关、断路器(或真空接触器〉、熔断器、滤波电容器、滤波电抗器、电阻器〈如果需要〉、放电器件、金属氧化物避雷器、接地开关等。
3.2隔离开关和断路器
选用的隔离开关和断路器的额定电流应不小于1.5岛,应选用无重击穿的断路器,对于要求切除短路故障的断路器,其额定开断电流应大于滤波器安装地点系统的短路电流。
隔离开关和断路器操作时应运动灵活,不出现操作力过大、卡住的现象。
隔离开关应符合GB 1985 的规定。
凡组装成高压开关拒者应符合GB 3906 的规定。
3.3滤波电抗器
滤波电抗器宜采用可调电感,调感范围由滤波器设计需要确定,当采用不可调感的滤波电抗器时,电感的允许偏差应不大于土1.5% 。
采用空心滤波电抗器时,宜采用三相平装的安装方式。
滤波电抗器应符合GB厅10229 的要求。
滤波电抗器的声级水平应不超过表3 的规定。

3.4滤波电容器
滤波电容器一般由滤波电容器单元组成。
声级水平dB (A)
单台滤波电容器可放置于台架上, 也可放置于柜内,单台滤波电容器额定电压、额定容量的选择应按滤波电容器每相电压、容量以及每相滤波电容器的串、井联台数确定。
滤波电容器台架设计应考虑到便于维护和更换设备,台架与巡视通道之间一般设置网状遮栏。
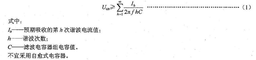
滤波电容器主接线方式应为单星形或双星形。每相的滤波电容器单元应采用先并联后串联的连接方式, 但应使全部井联的内部无熔丝的滤波电容器的总储能不超出滤波电容器单元的耐爆能量。滤波电容器单元与母线应使用软导体连接。滤波电容器母线中性点侧和电源侧应留有供连接接地线夹的位置。滤波电容器内的滤波电容器单元应符合GB厅11024.1的规定:外部熔断器应符合GBrr 15166 .4的规定:滤波电容器单元电容偏差应不大于:e 5%,整组滤波电容器的电容偏差应不大子+2%。滤波电容器的额定电压应不小于工频电流以及可能流过的各次谐波电流在滤波电容器上引起电压降的代数和,即

3.5外部熔断器
在户外装置中如有外部熔断器宣选用喷射式高压熔断器,熔断器的一端固定在母线上,另一端与滤波电容器接线端子相连接。熔断器应安装在通道侧,烙断器的安装位置和角度应符合制造方的规定。
3.6放电器件
放电器件分为: a) 内置放电电阻; b) 外接放电线圈。
放电器件的额定电压应不低于滤波电容器的额定电压,放电性能应能满足对内置放电电阻5 min
内、对外置放电线圈5 s 内将滤波电容器上的剩余电压自额定电压峰值降至50V 或更低。
放电器件应符合制造方与购买方商定的技术条件的规定。
3.7金属氧化物避雷器
当需要限制投切滤波装置引起的操作过电压时,直选用金属氧化物避雷器。
选择金属氧化物避雷器时,应考虑到避雷器的连接方式、可能出现的过电压倍数和滤波电容器容量等。金属氧化物避雷器可放置于高压开关柜内,也可放置于滤波电容器附近,由制造方与购买方协商确定。金属氧化物避雷器应符合GB 11032 的规定。
东莞市正航仪器设备有限公司 Copyright © 版权所有contact us
地址:广东省东莞市寮步镇岭安街2号手机微信号
微信公众号
手机网站


